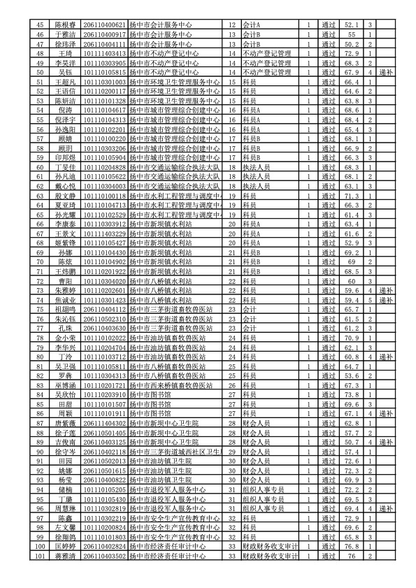
2023年江蘇鎮(zhèn)江揚(yáng)中市事業(yè)單位招聘資格復(fù)審?fù)ㄟ^(guò)名單
相關(guān)推薦
點(diǎn)擊排行
線上報(bào)名


